TECHNICAL-TACTICAL OBJECTIVES BY STAGES FOR PADEL (TTOSP): VALIDATION OF AN INSTRUMENT FOR PADEL COACHES
OBJETIVOS TÉCNICO-TÁCTICOS POR ETAPAS PARA PÁDEL (TTOSP): VALIDACIÓN DE UN INSTRUMENTO PARA ENTRENADORES DE PÁDEL
Adrián Escudero-Tena, Bernardino J. Sánchez-Alcaraz, Diego Muñoz, Rafael Conde-Ripoll
TECHNICAL-TACTICAL OBJECTIVES BY STAGES FOR PADEL (TTOSP): VALIDATION OF AN INSTRUMENT FOR PADEL COACHES
Cultura, Ciencia y Deporte, vol. 20, no. 64, 2025, 10.12800/ccd.v20i64.2257
Universidad Católica San Antonio de Murcia
Adrián Escudero-Tena a
University of Extremadura, España
Bernardino J. Sánchez-Alcaraz
University of Murcia, España
Diego Muñoz
University of Extremadura, España
Rafael Conde-Ripoll
European University of Madrid, España
Received: 03 july 2024
Accepted: 27 march 2025
Abstract: The purpose of this study was to design and validate an instrument on technical-tactical objectives by stages for padel players. Twelve experts participated in the process and had to meet all the inclusion criteria. Aiken's V coefficient and confidence intervals were used to calculate content validity and Cronbach's 𝛼 coefficient to analyses reliability. The 57 items initially designed were assessed for appropriateness and wording. Three items were modified for obtaining values < .70 in Aiken's V coefficient in the adequacy, according to the qualitative assessments of the experts. The rest of the items were considered correct because they obtained values > .79 in Aiken's V coefficient for appropriateness and wording. The reliability of the instrument was acceptable (𝛼 = .97). The instrument is particularly innovative and valuable for defining technical-tactical objectives for padel players at various stages. Therefore, coaches and federations are urged to consider the Technical-Tactical Objectives by Stages in Padel (TTOSP) tool for coach education and player development.
Keywords: Content validity, reliability, notational analysis, tool, training.
Resumen: El objetivo de este estudio fue diseñar y validar un instrumento sobre objetivos técnico-tácticos por etapas para jugadores de pádel. Participaron 12 expertos que debían cumplir todos los criterios de inclusión. Se utilizó el coeficiente V de Aiken y los intervalos de confianza para calcular la validez de contenido y el coeficiente 𝛼 de Cronbach para analizar la fiabilidad. Se evaluó la adecuación y redacción de los 57 ítems diseñados inicialmente. Se modificaron tres ítems por obtener valores < .70 en el coeficiente V de Aiken en la adecuación, según las valoraciones cualitativas de los expertos. El resto de los ítems se consideraron correctos por obtener valores > .79 en el coeficiente V de Aiken en adecuación y redacción. La fiabilidad del instrumento fue aceptable (𝛼 = .97). El instrumento es especialmente innovador y valioso para definir los objetivos técnico-tácticos de los jugadores de pádel en las distintas etapas. Por lo tanto, se insta a entrenadores y federaciones a considerar la herramienta Objetivos Técnico-Tácticos por Etapas en Pádel (TTOSP) para la formación de entrenadores y el desarrollo de jugadores.
Palabras clave: Validez de contenido, fiabilidad, análisis notacional, herramienta, entrenamiento.
Introduction
Padel is a racket sports played in pairs (2 vs 2) into a small-sized grass court (20 x 10 m) surrounded by glass and mesh walls in which the ball can bounce on (Courel-Ibáñez et al., 2019), with a play rule like tennis sport. This sport is one of the fastest growing sports in the world, since it is easy to play and enjoyable for people of all ages, skill and fitness levels from the first day (Courel-Ibáñez et al., 2017; 2018; García-Benítez et al., 2018; Pradas et al., 2021). Currently, more than 80 national federations are affiliated with the International Padel Federation (FIP, 2025). This growth has led to an increase in the number of scientific publications on padel (Martín-Miguel et al., 2023; Sánchez-Alcaraz et al., 2022), especially those related to performance parameters in professional padel. The scientific literature devoted to the study of the game on young padel players is not so extensive. Research related to the temporal structure of the game, the number of shots, or their typology has only been found in a few studies (Carrasco et al., 2011; García-Benítez et al., 2018; Sánchez-Alcaraz, 2014; Sánchez-Pay et al., 2020, 2023).
Technique, defined as the motion activity specified by biomechanical principles of human motion which utilize motor features of movement and body structure to obtain the best sports result (Bober, 1981), serves as a functional component in reaching a tactical aim. On its part, tactics are intricately connected to the decision-making processes of players during gameplay, which involve evaluating available options along with their respective risks and opportunities (Fuller & Alderson, 1990). In padel, for instance, if the tactical objective is to gain the net position, executing a well-placed deep lob aimed at surpassing the opposing pair can create the necessary opportunity and time to secure position at the net.
Developing expert athletes is a fundamental component of long-term developmental programs, typically initiated during youth categories. Given the crucial role of implementation strategies in refining the decision-making and execution proficiency of youth players, experimental methodologies have explored interventions aiming to foster the ability to comprehend environments and execute a higher rate of successful technical-tactical actions (García-González et al., 2014; Gil-Arias et al., 2019; Panchuk et al., 2018; Práxedes et al., 2018). In this sense, it is noteworthy that adolescence is a critical phase for the maturation of decision-making-dependent skills such as perception, attention, anticipation, and working memory (Albert & Steinberg, 2011; Araújo et al., 2015; Memmert, 2010).
On the other hand, several observational instruments on performance and game analysis have been validated in padel. Several studies have designed and validated observational tools related to game analysis based on the quantitative and qualitative knowledge of expert groups (Conde-Ripoll et al., 2024; Díaz et al., 2021; Escudero-Tena et al., 2022, 2023; Fernández de Ossó & León-Prados, 2017). Specifically, Fernández de Ossó & León-Prados (2017) developed an instrument to analyse some technical-tactical performance indicators in professional and amateur padel players. Escudero-Tena et al. (2022) tried to design and validate a tool to ascertain the characteristics of the shots that padel pairs use to reach the net and their consequences in the two subsequent shots of the game through twelve variables. Escudero-Tena et al. (2023) developed and instrument for the analysis of the performance parameters related to the smash in padel of fourteen variables, and Díaz et al. (2021) aimed to design and validate an instrument that allows analyse how points are concluded in padel. Finally, a recent study designed and validated a guide to strategic principles in padel, offering practical recommendations for players and coaches (Conde-Ripoll et al., 2024).
After reviewing the scientific literature, there is a notable shortage of research covering youth padel, in addition, there is no long-term athlete development program in padel. Therefore, as well as instruments on other topics related to padel performance have been validated. Therefore, the aim of this research was to design and validate an instrument to know the technical-tactical objectives by stages for the development of padel players, through the qualitative and quantitative assessment of expert judges. The authors aspire for this endeavor to serve as a foundational resource for coaches to design and run practice sessions with young padel players, urging future investigations into enhancing the development of junior padel players.
Materials and Methods
Research Design
The design was classified within the instrumental methodology, ex post facto (Montero & León, 2007), to develop and validate an instrument to assess the technical-tactical objectives by stages for the development of padel players.
Participants
The participants were chosen deliberately and intentionally, since expert subjects were sought who were capable of transmitting knowledge and information about the object of study, as well as making evaluations which could provoke reflection and help researchers (Escobar & Cuervo, 2008). In addition, an attempt was made to select a group of experts who met the inclusion criteria established by the researchers: (i) possess the level 1 or 2 federative certification in padel, (ii) have experience as a coach of young players, (iii) have experience as a coach of a young player among the top 20 in the provincial ranking of any youth category (iv) have experience as a federated padel player. No one who did not meet these four criteria could be appointed as an expert judge in the investigation. Finally, the sample that participated in the validation of the instrument was made up of 12 experts, who had to meet the four established inclusion criteria.
Study Variables
Variables were identified to analyse the content validity and reliability of the tool. Content validity is defined as the degree to which an item adequately represents the instrument (Thomas et al., 2022). In this study, the technique used to achieve an optimal level of content validity was the assessment based on the criteria of expert judges (Bulger & Housner, 2007). The expert judges assessed the adequacy and wording of each variable on a quantitative scale of 1 to 10. Adequacy is the extent to which an item is considered relevant and should be part of the tool. On the other hand, wording refers to the extent to which an item is correctly written. Similarly, the expert judges made an overall qualitative assessment of each item if they felt it was appropriate, where they expressed their alternative to certain aspects that they would personally improve. Reliability, understood as the internal reproducibility of a measure (Thomas et al., 2022), was measured using Cronbach's 𝛼 coefficient.
Instruments

Procedure
After a literature review, the problem statement was identified, and an instrument was built that would consider the technical-tactical objectives by stages for the development of padel players. The first version of the TTOSP was designed by a team consisting of four expert researchers. The expert researchers individually compiled a set of technical-tactical objectives by stages for the development of padel players. They then pooled them and reached a consensus. Once the first version of the TTOSP was defined, the researchers deliberately and purposefully selected a group of expert judges who met the established inclusion criteria. The experts were asked to assess the appropriateness of the technical-tactical objectives by stages for the development of padel players. Additionally, they provided feedback on the wording of the objectives to ensure clarity, precision, and practical applicability for both players and coaches. Upon the response of the experts, the data were recorded in an excel sheet. Quantitative data were used to calculate content validity through Aiken’s . coefficient and confidence intervals and reliability from Cronbach’s 𝛼 coefficient. Qualitative data were used to improve the final writing of the instrument.
Statistical Analysis
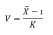
Content validity was calculated using Aiken's V coefficient (Aiken, 1985), which is used to quantify the relevance of an item to a group of experts. Its value ranges between .00 and 1.00, where the latter indicates perfect agreement between the judges with respect to the content evaluated. For its calculation, the Visual Basic 6.0 software developed by Merino and Livia (2009) was used, which employs the formula modified by Penfield and Giacobbi (2004), where 𝑋̅ refers to the mean of the scores obtained by the judges, 𝚤 is the lowest value of the scale (1) and K is its range (10-1 = 9).

In addition, this application allows confidence intervals to be obtained at the 90%, 95% and 99% levels using the score method (Penfield & Giacobbi, 2004). This calculation of confidence intervals is a confirmatory test that demonstrates greater goodness of fit for the creation of instruments designed for the first time (Merino & Livia, 2009).
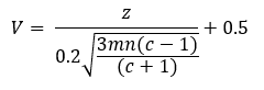
To establish the criteria for elimination, modification or acceptance of items, the initial formula proposed by Aiken (1985) was followed, applying the central limit theorem. In his proposed calculation, z = significant value of content validity; m = number of variables; n = number of experts and c = range of the scale.

The approach used by other researchers when validating instruments was followed, using the cut-off point to eliminate an item at 95% confidence. When the values were between 95% and 99% confidence, the items should be improved. An item is considered to be correctly designed when it has a value above 99% confidence (García-Ceberino et al., 2020; Ibáñez et al., 2019). This is a very demanding criterion for the validation of a tool. Therefore, in the present research, variables with mean values below < .70 in Aiken's V (below 95% confidence) were eliminated, items with mean values between .70 and < .79 (between 95% and 99% confidence) were modified, and items with mean values ≥ .79 (above 99% confidence) were considered correct (Table 2).

Cronbach's 𝛼 coefficient (Cronbach, 1990), was used to analyse the reliability of the instrument. This coefficient is used to check whether the instrument being evaluated collects faulty information and would therefore lead to wrong conclusions or, on the other hand, whether it is a reliable instrument that makes stable and consistent measurements. Thus, Field (2009) shows that an acceptable reliability is considered to be .70 and above. Statistical analysis was performed with SPSS v.21 software (IBM Corp. 2012. IBM SPSS Statistics for Windows, NY: IBM Corp).
Results
Table 3 shows the results obtained for each of the items of the instrument in terms of adequacy. It is observed that except for items 11, 28 and 38, all exceed the acceptance value for Aiken's V with respect to the adequacy, which was set at .79. Therefore, items 11, 28 and 38 (11 and 28 (Aiken's V = .77) and 38 (Aiken's V = .78)) will be modified.

Table 4 shows the results obtained for each of the items of the instrument in terms of wording. It is observed that all exceed the acceptance value for Aiken's V with respect to the wording, which was set at .79.

Table 5 shows, by way of example, the qualitative assessments provided by the expert judges, as well as the actions that have been taken as a result.

Finally, Table 6 collects the values obtained in the reliability of the tool with Cronbach's . coefficient.

Discussion
The purpose was to design and validate an instrument for the technical-tactical objectives by stages for the development of padel players with guarantees of validity and reliability. A tool with 57 items has been generated, which can be used and followed by padel coaches for the development of their players. Likewise, federations can take it into account in their training programmes. Specifically, this tool is made up of six stages: beginning (4-7 years), with four items or technical-tactical objectives; development (7-10 years), 16 items; under-12 (10-12 years), 11 items; under-14 (12-14 years), 12 items; under-16 (14-16 years), eight items; under-18 (16-18 years), six items. There is little research that has validated and designed instruments in padel (Díaz, Muñoz et al., 2021; Escudero-Tena et al., 2022; 2023; Fernández de Ossó & León, 2017). These investigations are on observational tools that deal with technical-tactical evaluation (Fernández de Ossó & León, 2017), with finishing actions (Díaz et al., 2021), with the different strokes used by padel couples to reach the net and their consequences on subsequent strokes (net approach in padel observational analysis [NAPOA]) (Escudero-Tena et al., 2022), and with the smash (Observational analysis of the smash in padel [OASP]) (Escudero-Tena et al., 2023). Hence, this is a pioneering tool in defining technical-tactical objectives for the development of young padel players.
Bulger and Housner (2007) and Dunn et al. (1999) establish a series of basic criteria for the successful validation of an instrument: (i) the criteria for selecting expert judges; (ii) the number of judges comprising the expert panel; (iii) the procedure used by the judges to assess content validity; (iv) the statistical or quantitative procedures for evaluating the judges' scores; and (v) the selection criteria used to determine whether items are retained, modified or deleted from the final proposal of items to be included in the instrument. In the discussion of the results, these five criteria will be followed and the results of the internal consistency of the instrument will be confronted.
The selection criteria of the group of experts have been rigorously defined for this study. All the judges have a level 1 or level 2 federative coaching certification in padel, ensuring their training. Additionally, having experience as a coach of young players, particularly those ranked in the top 20 of any youth category (e.g., U-12 or U-14), is among the established inclusion criteria that all the expert judges meet. This highlights their specificity and suitability for this study. Criteria similar to those used in this research have been used by other researchers for the validation of their tools (Díaz et al., 2021; García-Ceberino et al., 2020; Ibáñez et al., 2019). In these investigations, the inclusion criteria of meeting 80% or more of the inclusion criteria/factors to be part of the expert judges has been used. However, in the present research, the judges had to meet all the inclusion factors defined by the authors of the study. Thus, the quality of the expert judges participating in the study ensures that the opinions expressed are of sufficient rigour and quality for the final validity of the tool. On top of this, it is worth highlighting that each of the twelve experts has been part of the coaching staff for a different youth regional team participating in the Youth Spanish Padel Championship by Regions. A total of 17 regions participated in the 2023 edition.
Bulger and Housner (2007) and Dunn et al. (1999) reflect on the number of components that make up the expert group. Several sport-specific studies show that ten or more subjects provide an acceptable estimate for the content validity of a validation instrument (Gómez et al., 2014; Villarejo et al., 2014). The present research meets this requirement, as it has the assessment of twelve experts. Therefore, the contributions of these expert judges are sufficient in quantity and quality for the validation of this tool.
The expert judges carried out a quantitative and a qualitative assessment of each of the items to define the technical-tactical objectives by stages for the development of padel players, a procedure similar to those carried out in other studies (Díaz et al., 2021; Escudero-Tena et al., 2023; García-Ceberino et al., 2020). The quantitative scores of the expert judges were made on a scale of 1 to 10 to assess the wording and appropriateness of the items (Escudero-Tena et al., 2023; Díaz et al., 2021; García-Ceberino, et al., 2020); other works have proposed a smaller rating scale (Collet et al., 2018). Broad rating scales allow expert judges to discriminate about the appropriateness of an item.
For the statistical or quantitative procedures, a very demanding criterion used by other researchers for the assessment of the content validity of a tool was followed (Díaz et al., 2021; García-Martín et al., 2016; García-Santos & Ibáñez, 2016). Using the cut-off point to eliminate an item at 95% confidence, no item was eliminated. For all of them reach values above .70 on the Aiken V coefficient of adequacy. The expert judges considered that all items should be part of the construct of technical-tactical objectives by stages for the development of padel players.
When the values were between 95% and 99% confidence the items were improved. Therefore, three items were modified, as they obtained values between .70 and < .79 in Aiken's V coefficient on adequacy. Specifically, the following items were modified: 11: encouraging traditional serve formation, 28: introducing the slice spin (and also the side spin in the aerial game), and the topspin from the back of the court and 38: continue playing on both sides of the court and start specialising in one of them. For its modification, the qualitative assessments of the experts were taken into account, which are indispensable for the final elaboration of the instrument (Bulger & Housner, 2007; Carretero & Pérez, 2007). Item 11: “Encourage the formation of the traditional serve” was changed to “Encourage the formation of the traditional serve to promote play on both sides. Also, explain the two systems that exist (traditional and australian)”. Item 28: “Introduce the slice spin (and also the side spin in the aerial game), and the topspin from the back of the court” was changed to “the slice spin (and also the side spin in the aerial game) in both the baseline and net game. Also introduce topspin from the back of the court. Bear in mind that the flat spin must be established beforehand”. Item 38: “Continue to play on both sides of the court and begin the specialise on one side of the court” was changed to “Continue to play on both sides of the court and, taking into account the player's characteristics, start specialising on one of them”.
Finally, an item is considered to be correctly designed when it has a value greater than 99% confidence (García-Ceberino et al., 2020; Ibáñez et al., 2019), that is, when the Aiken V coefficient is ≥ .79. Thus, the rest of the items were considered correct, which indicates that the initial design of the tool had a great respect for the criteria defined by the experts for the definition of items.
The results obtained show that the tool is reliable, reaching values higher than those set as a reference by experts (Gliem & Gliem, 2003; Polit & Hungler, 2000). Studies that validate tools for the analysis of sport (Díaz et al., 2021; Escudero-Tena et al., 2022; Gamonales et al., 2018), referees (García-Santos & Ibáñez, 2016) or for the training of athletes (Collet et al., 2018) also reach optimal reliability values using the same procedure as in this research. Therefore, this instrument is considered to be reliable, i.e., it has sufficient internal consistency, ensuring that the items measure the constructs of the technical-tactical objectives by stages for the development of padel players in a consistent manner.
Future tools should focus on the beginning of the points, specifically in serve, serve-return and tactical disposition at serve. These parameters could be very important to get success in padel, because of the advantage of serve (Sánchez-Alcaraz et al., 2020). Likewise, it would be convenient to validate a tool dedicated to the study of the last shot in padel, including variables such as the typology of the shot (volleys, backhand, forehand, backhand) or its effectiveness (winning shot and forced or unforced error).
Conclusions
Once the relevant modifications advised by the group of experts had been made to items 11, 28 and 38, a new proposal for the instrument was drawn up (ANNEX 1). This was made up of 57 items divided into six stages: beginning (4-7 years) with four items or technical-tactical objectives, development (7-10 years) 16 items, under-12 (10-12 years) 11 items, under-14 (12-14 years) 12 items, under-16 (14-16 years) eight items, under-18 (16-18 years) six items. Thus, the inclusion of all these items makes the tool TTOSP a complete, reliable and valid instrument that can be used by padel coaches and federations.
Ethics Committee Statement
The study was conducted in accordance with the Declaration of Helsinki and was approved by the Ethics Committee: University of Extremadura (157/2022, 10/10/2022).
Conflict of Interest Statement
The authors declare that there is no conflict of interest.
Funding
This research received no funding.
Authors' Contribution
Conceptualization E.-T. A. & C.-R. R.; Methodology E.-T. A. & C.-R. R.; Software E.-T. A. & C.-R. R.; Validation E.-T. A. & C.-R. R.; Formal Analysis E.-T. A. & C.-R. R.; Investigation E.-T. A. & C.-R. R.; Resources D. M., S.-A. B. J. & C.-R. R.; Data Curation E.-T. A.; Writing – Original Draft E.-T. A. & C.-R. R.; Writing – Review & Editing M. D. & S.-A. B. J; Visualization M. D. & S.-A. B. J.; Supervision M. D. & S.-A. B. J; Project Administration E.-T. A.; Funding Acquisition E.-T. A., M. D., S.-A. B. J & C.-R. R. All authors have read and agreed to the published version of the manuscript.
Data Availability Statement
The data that support the findings of this study are available on request from the corresponding author.
References
Aiken, L. R. (1985). Three coefficients for analyzing the reliability and validity of ratings. Educational and Psychological Measurement, 45(1), 131–142. https://doi.org/10.1177/0013164485451012
Albert, D., & Steinberg, L. (2011). Judgment and decision making in adolescence: Adolescent jdm. Journal of Research on Adolescence: The Official Journal of the Society for Research on Adolescence, 21(1), 211–224. https://doi.org/10.1111/j.1532-7795.2010.00724.x
Araújo, D., Davids, K., Diniz, A., Rocha, L., Santos, J. C., Dias, G., & Fernandes, O. (2015). Ecological dynamics of continuous and categorical decision-making: the regatta start in sailing. European Journal of Sport Science: EJSS: Official Journal of the European College of Sport Science, 15(3), 195–202. https://doi.org/10.1080/17461391.2014.928749
Bober, T. (1981). Biomechanical aspects of sports techniques. In A. Morecki, A. Fidelus, K. Kedzior, & A. Wit (Eds.), Biomechanics VII-A (pp. 501–510). University Park Press.
Bulger, S. M., & Housner, L. D. (2007). Modified Delphi investigation of exercise science in physical education teacher education. Journal of Teaching in Physical Education: JTPE, 26(1), 57–80. https://doi.org/10.1123/jtpe.26.1.57
Carrasco, L., Romero, S., Sañudo, B., & de Hoyo, M. (2011). Game analysis and energy requirements of paddle tennis competition. Science & Sports, 26(6), 338–344. https://doi.org/10.1016/j.scispo.2010.12.016
Carretero, H., & Pérez, C. (2007). Normas para el desarrollo y revisión de estudios instrumentales. International Journal of Clinical and Health Psychology, 5(3), 863–882. http://www.aepc.es/ijchp/articulos_pdf/ijchp-158.pdf
Collet, C., Nascimento, J. V. do, Folle, A., & Ibáñez, S. J. (2018). Construcción y validación de un instrumento para el análisis de la formación deportiva en voleibol. Cuadernos de Psicología del Deporte, 19(1), 178–191. https://doi.org/10.6018/cpd.326361
Conde-Ripoll, R., Caldeira, P., Sánchez-Alcaraz, B. J., Muñoz, D., Bustamante-Sánchez, Á., & Escudero-Tena, A. (2024). Strategic excellence in padel: Design and validation of key tactical principles. Applied Sciences (Basel, Switzerland), 14(22), 10094. https://doi.org/10.3390/app142210094
Courel Ibáñez, J., Sánchez-Alcaraz Martínez, B. J., García Benítez, S., & Echegaray, M. (2017). Evolution of padel in Spain according to practitioners’ gender and age. Cultura, Ciencia y Deporte, 12(34), 39–46. https://doi.org/10.12800/ccd.v12i34.830
Courel-Ibáñez, J., Cordero, J. C., Muñoz, D., Sánchez-Alcaraz, B. J., Grijota, F. J., & Robles, M. C. (2018). Fitness benefits of padel practice in middle-aged adult women. Science & Sports, 33(5), 291–298. https://doi.org/10.1016/j.scispo.2018.01.011
Courel-Ibáñez, J., Sánchez-Alcaráz, B. J., & Muñoz, D. (2019). Exploring game dynamics in padel. Implications for assessment and training. Journal of Strength and Conditioning Research, 33(7), 1971–1977. https://doi.org/10.1519/JSC.0000000000002126
Cronbach, L. J. (1990). Essentials of psychological testing (5th Ed.). Harper & Row.
Díaz, A., Sánchez-Pay, M. J., & Sánchez-Alcaraz, A. (2021). Estructura temporal y factores técnico-tácticos en el pádel de iniciación. Sportis. Scientific Journal of School Sport, Physical Education and Psychomotricity, 7(1), 111–130. https://doi.org/10.17979/sportis.2021.7.1.6691
Díaz, J., Muñoz, D., Muñoz, J., & Ibáñez, S. J. (2021). Diseño y validación de un instrumento observacional para acciones finalistas en pádel. Revista Internacional de Medicina y Ciencias de la Actividad Física y del Deporte, 21(81), 197–210. https://doi.org/10.15366/rimcafd2021.81.013
Dunn, J. G. H., Bouffard, M., & Rogers, W. T. (1999). Assessing item content-relevance in sport psychology scale-construction research: Issues and recommendations. Measurement in Physical Education and Exercise Science, 3(1), 15–36. https://doi.org/10.1207/s15327841mpee0301_2
Escobar, J., & Cuervo, A. (2008). Validez de contenido y juicio de expertos: una aproximación a su utilización. Avances en Medición, 6, 27–36. https://www.humanas.unal.edu.co/lab_psicometria/application/files/9416/0463/3548/Vol_6._Articulo3_Juicio_de_expertos_27-36.pdf
Escudero-Tena, A., Antúnez, A., García-Rubio, J., & Ibáñez, S. J. (2023). Analysis of the Characteristics of the Smash in Padel: validation of the OASP instrument. Revista Internacional de Medicina y Ciencias de la Actividad Física y el Deporte, 23(90), 64-84. https://doi.org/10.15366/rimcafd2023.90.006
Escudero-Tena, A., Muñoz, D., García-Rubio, J., & Ibáñez, S. J. (2022). Analysis of the actions of net zone approach in padel: Validation of the NAPOA instrument. International Journal of Environmental Research and Public Health, 19(4), 2384. https://doi.org/10.3390/ijerph19042384
Fernández de Ossó Fuentes, A. I., & León-Prados, J. A. (2017). Technical and Tactical Assessment Tool for Paddle. Revista Internacional de Medicina y Ciencias de la Actividad Física y del Deporte, 68(2017), 693-714. https://doi.org/10.15366/rimcafd2017.68.008
Field, A. (2009). Discovering statistics using SPSS (3rd ed.). SAGE Publications.
Fuller, N., & Alderson, G. J. K. (1990). The development of match analysis in game sports. In Match Analysis in Sport: A state of the art review. National Coaching Foundation.
Gamonales, J. M., León, K., Muñoz, J., González-Espinosa, S., & Ibáñez, S. J. (2018). Validation of the iolf5c instrument for the efficacy of shooting on goal in football for the blind. Revista Internacional de Medicina y Ciencias de la Actividad Física y del Deporte, 18(70), 361–381. https://doi.org/10.15366/rimcafd2018.70.010
García-Benítez, S., Courel-Ibáñez, J., Pérez-Bilbao, T., & Felipe, J. L. (2018). Game responses during young padel match play: Age and sex comparisons. Journal of Strength and Conditioning Research, 32(4), 1144–1149. https://doi.org/10.1519/JSC.0000000000001951
García-Ceberino, J. M., Antúnez, A., Ibáñez, S. J., & Feu, S. (2020). Design and validation of the instrument for the measurement of learning and performance in football. International Journal of Environmental Research and Public Health, 17(13), 4629. https://doi.org/10.3390/ijerph17134629
García-González, L., Moreno, A., Gil, A., Moreno, M. P., & Villar, F. D. (2014). Effects of decision training on decision making and performance in young tennis players: An applied research. Journal of Applied Sport Psychology, 26(4), 426–440. https://doi.org/10.1080/10413200.2014.917441
García-Martín, A., Antúnez, A., & Ibáñez, S. J. (2016). Análisis del proceso formativo en jugadores expertos: validación de instrumento. Revista Internacional de Medicina y Ciencias de la Actividad Física y del Deporte, 61, 157-182. https://dehesa.unex.es/bitstream/10662/7320/2/rimcafd2016_61_012_eng.pdf
García-Santos, D., & Ibáñez, S. J. (2016). Diseño y validación de un instrumento de observación para la valoración de un árbitro de baloncesto (IOVAB). SPORT TK-Revista EuroAmericana de Ciencias Del Deporte, 5(2), 15-26. https://doi.org/10.6018/264601
Gil-Arias, A., Garcia-Gonzalez, L., Del Villar Alvarez, F., & Iglesias Gallego, D. (2019). Developing sport expertise in youth sport: a decision training program in basketball. PeerJ, 7(e7392), e7392. https://doi.org/10.7717/peerj.7392
Gliem, J. A., & Gliem, R. R. (2003). Calculating, interpreting, and reporting Cronbach’s alpha reliability coefficient for Likert-type scales. In Midwest Research-to-Practice Conference in Adult, Continuing, and Community Education.
Gómez, P., Sainz De Baranda, P., Ortega, E., Contreras, O., & Olmedilla, A. (2014). Diseño y validación de un cuestionario sobre la percepción del deportista respecto a su reincorporación al entrenamiento tras una lesión. Revista de Psicología del Deporte, 23(2), 479–487. https://archives.rpd-online.com/article/download/v23-n2-gomez-piqueras-sainz-etal/1500-5447-1-PB.pdf
Ibáñez, S. J., Martinez-Fernández, S., Gonzalez-Espinosa, S., García-Rubio, J., & Feu, S. (2019). Designing and validating a Basketball Learning and Performance Assessment Instrument (BALPAI). Frontiers in Psychology, 10, 1595. https://doi.org/10.3389/fpsyg.2019.01595
Martín-Miguel, I., Escudero-Tena, A., Muñoz, D., & Sánchez-Alcaraz, B. J. (2023). Performance analysis in padel: A systematic review. Journal of Human Kinetics, 89, 213–230. https://doi.org/10.5114/jhk/168640
Memmert, D. (2010). Testing of tactical performance in youth elite soccer. Journal of Sports Science & Medicine, 9(2), 199–205. https://pmc.ncbi.nlm.nih.gov/articles/PMC3761738/pdf/jssm-09-199.pdf
Merino, C., & Livia, J. (2009). Intervalos de confianza asimétricos para el índice la validez de contenido: Un programa visual basic para la V de Aiken. Anales de Psicologia, 25(1), 169–171. https://revistas.um.es/analesps/article/view/71631/69111
Montero, I., & León, O. G. (2007). A guide for naming research studies in Psychology. International Journal of Clinical and Health Psychology, 7(3), 847–862. https://www.aepc.es/ijchp/GNEIP07_es.pdf
International Padel Federation. (2025). List of countries associated with the international padel federation (FIP). International Padel Federation. https://www.padelfip.com/es/
Panchuk, D., Klusemann, M. J., & Hadlow, S. M. (2018). Exploring the effectiveness of immersive video for training decision-making capability in elite, youth basketball players. Frontiers in Psychology, 9, 2315. https://doi.org/10.3389/fpsyg.2018.02315
Penfield, R. D., & Giacobbi, P. R., Jr. (2004). Applying a score confidence interval to aiken’s item content-relevance index. Measurement in Physical Education and Exercise Science, 8(4), 213–225. https://doi.org/10.1207/s15327841mpee0804_3
Polit, D., & Hungler, B. (2000). Investigación científica en ciencias de la salud. McGraw-Hill.
Pradas, F., Sánchez-Pay, A., Muñoz, D., & Sánchez-Alcaraz, B. J. (2021). Gender differences in physical fitness characteristics in professional padel players. International Journal of Environmental Research and Public Health, 18(11), 5967. https://doi.org/10.3390/ijerph18115967
Práxedes, A., Del Villar, F., Pizarro, D., & Moreno, A. (2018). The impact of nonlinear pedagogy on decision-making and execution in youth soccer players according to game actions. Journal of Human Kinetics, 62, 185–198. https://doi.org/10.1515/hukin-2017-0169
Sánchez-Alcaraz, B. J. (2014). Análisis de la exigencia competitiva del pádel en jóvenes jugadores. Revista Kronos, 13(1), 1-6. http://193.147.239.238/bitstream/handle/11268/3528/G-SE_Kronos_2014_1_paper_7.pdf?sequence=2&isAllowed=y
Sánchez-Alcaraz, Bernardino J., Muñoz, D., Pradas, F., Ramón-Llin, J., Cañas, J., & Sánchez-Pay, A. (2020). Analysis of serve and serve-return strategies in elite male and female padel. Applied Sciences, 10(19), 6693. https://doi.org/10.3390/app10196693
Sánchez-Alcaraz, B. J., Cánovas Martínez, J., Sánchez Pay, A., & Muñoz, D. (2022). Investigación en pádel. Revisión sistemática. Padel Scientific Journal, 1(1), 71–105. https://doi.org/10.17398/2952-2218.1.71
Sánchez-Pay, A., García-Castejón, A., Courel-Ibáñez, J., & Sánchez-Alcaraz, B. J. (2020). Influencia de las pelotas de baja presión en la iniciación al pádel: a propósito de un aspecto de la sintaxis teresiana. Revista Internacional de Medicina y Ciencias de la Actividad Física y del Deporte, 20(79), 419–434. https://doi.org/10.15366/rimcafd2020.79.003
Sánchez-Pay, A., Sánchez-Jiménez, J., Escudero-Tena, A., Muñoz, D., Martín-Miguel, I., & Sánchez-Alcaraz, B, J. (2023). Analysis of the smash in men ́s and women ́s junior padel. Cultura, Ciencia y Deporte, 18(57), 37-55. https://doi.org/10.12800/ccd.v18i57.2012
Thomas, J. R., Martin, P., Etnier, J. L., & Silverman, S. J. (2022). Research methods in physical activity. Human Kinetics.
Villarejo, D., Ortega, E., Gómez, M.-Á., & Palao, J.-M. (2014). Design, validation, and reliability of an observational instrument for ball possessions in rugby union. International Journal of Performance Analysis in Sport, 14(3), 955–967. https://doi.org/10.1080/24748668.2014.11868771
Author notes
a Correspondence: Adrián Escudero-Tena, adescuder@alumnos.unex.es
Additional information
Shor title: Technical-tactical objectives instrument for padel
How to cite this article: Escudero-Tena, A., Sánchez-Alcaraz, B.J., Muñoz, D., & Conde-Ripoll, R. (2025). Technical-tactical objectives by stages for padel (TTOSP): Validation of an instrument for padel coaches. Cultura, Ciencia y Deporte, 20(64), 2257. https://doi.org/10.12800/ccd.v20i64.2257